公司磁性拓扑材料科研团队在磁性MnBi₂Te₄物性调控方面取得新进展
近日,公司张会生教授团队在二维磁性材料领域取得重要突破,相关研究成果以题为《Septuple XBi2Te4 (X=Ge, Sn, Pb) intercalated MnBi2Te4 for realizing interlayer ferromagnetism and quantum anomalous hall effect》和《Electron doping: A generic approach for realizing interlayer ferromagnetic coupling in the antiferromagnetic MnBi2Te4 family of materials》分别发表于《npj Quantum Materials》(SCI一区)和《Physical Review B》(SCI二区)。该研究得到国家重点研发计划、国家自然科学基金和山西省应用基础研究计划支持。
磁性拓扑绝缘体(MTIs)通过拓扑能带结构赋予磁性,在凝聚态物理学和材料科学中引起了广泛关注。然而,如何实现高温量子反常霍尔效应(QAHE)仍然是凝聚态物理学中的一个重大挑战。MnBi2Te4(MBT)是一种本征磁性拓扑绝缘体,其为实现高温QAHE提供了新的平台。然而,其固有的层间反铁磁耦合使得其无法实现高温QAHE,因此实现层间FM耦合尤为重要。
研究团队提出通过电子掺杂来实现层状MBTs中的层间FM耦合(图1)。该机制基于电子掺杂可以将MBTs的Bi-p轨道向下驱动到费米能级,此时未完全占据的Bi-p轨道间接允许两个相邻MBT之间的Mn原子打开相同自旋的通道,进而导致层间FM耦合。通过第一性原理计算证明了电子掺杂(包括Li、Na、K、Ca、Al和Ga掺杂剂)确实可以诱导MBT双层中的层间AFM向FM相变,并伴有半导体向金属相的转变。进一步的拓扑表征发现,当MBT表面掺杂原子时,费米能级以下的拓扑态保持良好,该拓扑态可通过角分辨光电子能谱观察到。
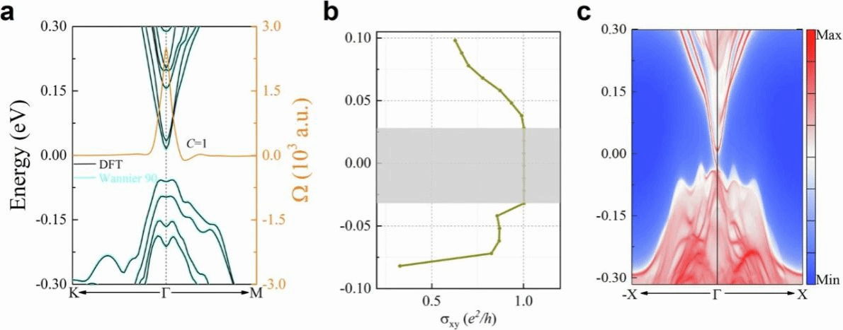
此外,研究团队还提出在MBT双层中通过插入七重层拓扑绝缘体XBi2Te4(X = Ge、Sn和Pb)来实现层间FM耦合(图2)。基于第一性原理计算,发现X原子的违背占据的pz轨道可以充当媒介使得层间Mn原子之间出现FM耦合。蒙特卡罗模拟预测MnBi2Te4/PbBi2Te4/MnBi2Te4异质结的磁转变温度为38 K。能带结构和拓扑分析证实,所有MnBi2Te4/XBi2Te4/MnBi2Te4异质结都可实现QAHE(图3),其中,MnBi2Te4/PbBi2Te4/MnBi2Te4的拓扑带隙为72 meV,远超MnBi2Te4双层的拓扑带隙。
以上研究工作为在反铁磁MnBi2Te4中实现层间FM耦合提供了一条实用的途径,为实现高温QAHE提供了理论依据,并推进其在量子计算和自旋电子学方面的应用。

图 1(a, c) 具有层间AFM耦合的原始MBT双层和具有层间FM耦合的电子掺杂MBT双层的结构构型;(b, d) MBT和电子掺杂MBT双层中AFM和FM耦合示意图。

图 2(a, b) MBT双层和MBT/PBT/MBT异质结的晶体结构; (c)实现层间铁磁耦合的物理机制。

图3 MBT/PBT/MBT异质结的拓扑性质。
一审:马丽娜
二审:颜志刚
三审:许国宝



